2025년 공무원 봉급 인상률, 봉급표
오늘은 2025년 공무원 봉급표에 대해 알아보겠습니다. 최근 뉴스에서 MZ 세대 공무원들의 낮은 임금과 업무 강도 때문에 잦은 퇴사 소식이 전해지고 있습니다. 이에 따라 정부는 공무원 임금 인상에 대해 진지하게 고민하고 있는 상황입니다. 내년 공무원 보수 인상률은 3.0%로, 이는 지난 2017년 이후 가장 높은 인상률입니다. 정부는 지난 27일 국무회의에서 이러한 내용을 포함한 '2025년 예산안'을 의결했습니다.


내년 국가 공무원 인건비 예산은 46조 6,000억 원으로, 올해 44조 8,000억 원에서 4% 증가한 수치입니다.
2025년 공무원 봉급 인상률 3%
실제 공무원 봉급 인상률을 살펴보면 2018년 2.6%, 2019년 1.5%, 2020년 2.8%, 2021년 0.9%, 2022년 1.4%, 2023년 1.7%, 2024년 2.5%로 최근 7년간 3%를 넘지 못했습니다. 일반직 9급 1호봉의 세전 연봉이 이번 2025년 공무원 봉급 인상률 3.0%만큼 오른다면, 올해 3,010만 원에서 내년에는 3,100만 원으로 약 90만 원이 오를 것으로 예상됩니다. 기본급은 월 187만 7천 원에서 193만 3천 원으로 5만 6천 원 인상될 예정입니다. 직급별 구체적인 인상률은 인사혁신처가 연말쯤 공무원 봉급표를 확정할 때 발표될 예정입니다.


이번 포스팅에서는 2024년과 비교해 2025년 공무원 봉급 인상률이 얼마나 인상되었는지 살펴보겠습니다. 최근 공무원 월급이 적다는 이야기가 빈번하게 들려오며, 이는 공무원 시험의 경쟁률에도 영향을 미치고 있습니다. 과거에는 안정적인 직업과 연금 혜택 덕분에 많은 이들이 공무원을 선망했지만, 현재는 민간 기업에 비해 낮은 임금과 직무 만족도 문제로 공무원의 매력이 감소하고 있는 상황입니다. 청년층 사이에서 공무원 준비 비율이 점차 낮아지고 있으며, 여전히 공무원을 준비하는 사람들 사이에서도 낮은 봉급은 끊임없이 문제로 제기되고 있습니다.


특히 민간 기업과 비교했을 때, 공무원 임금은 초봉은 비슷하거나 더 낮은 수준에서 시작해 향후 큰 임금 상승을 기대하기 어려운 구조로 되어 있어 이러한 점이 MZ세대에게 더욱 매력적이지 않게 다가오고 있습니다. 최근 물가 상승으로 인해 실제 생활비 부담은 더욱 커지고 있는 반면, 공무원의 봉급 인상률은 이를 따라가지 못하고 있다는 지적이 계속되고 있습니다.
2024년 공무원 봉급표
공무원의 급여는 국가 세금으로 지급되기 때문에, 민간 기업과 달리 개인 임금 협상이나 팀원별 차등 지급이 불가능합니다. 매년 정부가 정한 인상률에 따라 봉급이 결정되며, 이는 모든 공무원에게 동일하게 적용됩니다. 하지만 최근 물가 상승과 생활비 증가로 인해 공무원의 실질적인 임금 가치가 줄어들고 있으며, 이에 대한 비판의 목소리도 높아지고 있습니다. 2024년 공무원 봉급 인상률은 2.5%로, 여전히 공무원들은 생활비 부담을 크게 느끼고 있습니다.

2024년에는 물가 상승률이 약 4% 이상이었기 때문에, 실제 인상된 봉급이 체감되는 실질 가치에는 큰 변화가 없다는 것이 공무원 사회의 일반적인 의견입니다. 공무원들의 급여는 모든 국가 기관과 공공 부문에서 동일한 인상률을 따르므로, 개인적인 임금 협상이나 성과에 따른 인상은 불가능합니다. 이러한 점에서 공무원들은 매년 인상률 발표가 그들의 경제적 미래에 중요한 영향을 미친다고 할 수 있습니다.
공무원 임금은 주로 기본급과 다양한 수당으로 구성되며, 기본급 인상에 따라 수당 역시 소폭 조정될 수 있습니다. 공무원들에게 지급되는 주요 수당에는 급식비, 교통비, 직급 보조비 등이 포함되어 있으며, 이러한 수당의 금액은 임금 인상과 더불어 함께 조정됩니다. 하지만 공무원 노동계에서는 이들 수당이 최근 생활비 증가 속도에 맞춰 충분히 인상되지 못하고 있다는 불만이 제기되고 있습니다.
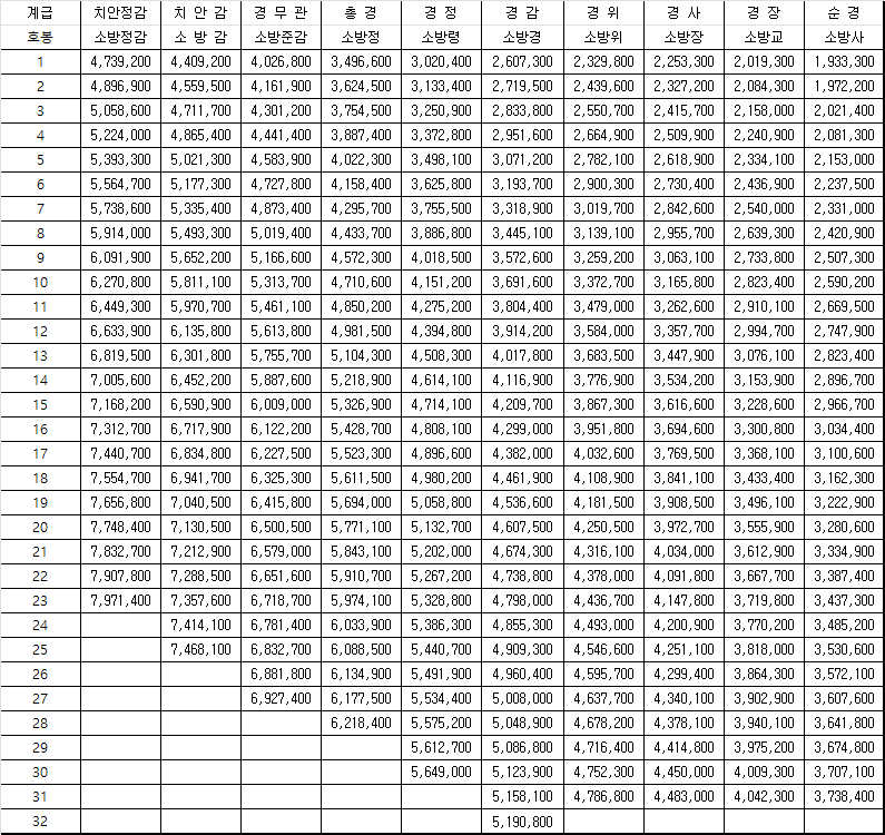
2025년 공무원 봉급표

2025년 공무원 임금 인상률은 6급 이하와 5급 이상 모두 3%로 일률적으로 적용될 예정입니다. 저연차 공무원에 대한 추가 인상 가능성도 거론되고 있으나, 공무원 노동계는 이러한 인상이 여전히 부족하다고 주장하며, 최소 22만 5,000원의 정액 인상을 요구하고 있습니다. 또한 물가 상승률과 최근 몇 년간의 실질 소득 감소를 고려할 때, 4.5%에서 5.2% 정도의 인상률이 적절하다는 의견도 나오고 있습니다.

공무원 노동계는 2025년 임금 인상과 관련해 여러 요구 사항을 제시했습니다. 여기에는 31만 3,000원의 정액 인상, 급식비 8만 원 인상, 6급 이하 직급 보조비 3만 5,000원 인상, 저연차 공무원의 정근수당 지급 기준 개선, 그리고 공무원 임금 현실화를 위한 봉급 조정 수당 지급 등이 포함되어 있습니다. 이러한 요구는 특히 저연차 공무원의 생활 안정과 근로 환경 개선을 위해 중요한 내용으로 여겨집니다.

또한 공무원 노동계는 공무원 사회에서 나타나는 불평등 문제에 대해서도 지적하고 있습니다. 특히, 동일한 직급 내에서도 지역 간 격차나 직무 간 보상의 차이가 공무원들의 직무 만족도에 영향을 미치고 있으며, 이를 해소하기 위한 노력이 필요하다는 의견이 많습니다. 공무원들은 주로 지방과 중앙정부 기관에서 근무하며, 그에 따른 생활환경과 업무 강도 차이로 인해 추가적인 지원이나 수당이 필요하다는 주장도 있습니다.
2024년과 2025년의 공무원 봉급표를 비교해 보면, 2024년에는 봉급이 전년도 대비 2.5% 인상되었습니다. 반면 2025년의 공무원 임금 인상률은 3%로, 최근 몇 년간 인상률 중 가장 높은 수준을 기록했습니다. 이로 인해 9급 1호봉의 월급은 약 193만 원이 될 것으로 예상됩니다. 하지만 여전히 공무원의 임금 수준은 생활비 상승에 비해 충분하지 않다는 의견이 많습니다. 물가 상승률이 임금 인상률을 상회하기 때문에, 실질적으로 공무원들이 체감하는 경제적 압박은 여전한 상황입니다.
이와 더불어, 공무원 노동계는 저연차 공무원들의 처우 개선에 대해 지속적으로 목소리를 높이고 있습니다. 특히 공무원 초년생들은 민간 부문에서의 경쟁력 있는 급여에 비해 상대적으로 낮은 임금을 받고 있으며, 직무 스트레스와 직업 안정성에 대한 불안감도 더해져 직업 만족도가 낮아지고 있는 것이 현실입니다. 이 때문에 저연차 공무원들의 이직률이 높아지고 있으며, 이는 공무원 사회 전체의 인력 부족 문제로 이어지고 있습니다.
최저임금과의 비교
2025년 최저임금 인상률은 1.7%로 결정되었으며, 이는 공무원 임금 인상률보다는 낮은 수준입니다. 하지만 사회 초년생이 받는 공무원 임금은 여전히 충분하지 않다는 의견이 많습니다. 특히 저연차 공무원들의 경우, 월급이 실질 생활비에 미치지 못하는 경우가 많아 공무원 노동계의 요구가 더욱 강해지고 있습니다. 물가 상승률을 감안할 때, 공무원 임금 인상률은 보다 현실적인 수준으로 조정될 필요가 있다는 목소리가 높아지고 있습니다.


공무원 노동계와 정부의 협의는 앞으로도 계속될 것이며, 공무원의 생활 안정과 사회적 위치를 고려한 임금 현실화가 중요한 과제로 남아 있습니다. 특히, 사회적 불평등 문제와 물가 상승을 감안한 정책적 배려가 필요하다는 점에서 정부의 대응이 요구됩니다. 최저임금과 비교했을 때 공무원 임금이 안정적이라는 점은 사실이지만, 실제 생활 수준을 유지하기에는 여전히 부족한 상황입니다.
공무원 임금과 최저임금을 비교할 때 중요한 점은 공무원들이 겪는 직무 특성과 책임의 무게입니다. 최저임금 인상률이 공무원 임금 인상률보다 낮다고 하더라도, 공무원들이 감당해야 하는 업무의 강도와 공공의 이익을 위해 봉사하는 역할을 감안할 때, 이들의 임금은 더 많은 지원과 현실적인 보상이 필요합니다. 공무원 사회에서는 이러한 점에서 최저임금과의 단순 비교보다는 그 이상의 처우 개선이 필요하다는 목소리가 큽니다.
결론
이 글을 통해 2025년 공무원 봉급 인상률과 봉급표에 대해 알아보았습니다. 공무원의 임금은 국가의 재정 상태와 사회적 요구에 따라 매년 조금씩 변화하고 있지만, 여전히 많은 공무원들이 생활비 부담을 느끼고 있으며, 이에 대한 개선 요구가 이어지고 있습니다. 특히 저연차 공무원들의 처우 개선이 시급한 상황이며, 이를 반영한 정부의 적극적인 대응이 필요합니다.

2025년 공무원 봉급 인상률은 3.0%로 결정되어, 공무원들의 생활 안정에 일부 기여할 것으로 기대되지만, 물가 상승과 실제 생활비를 고려할 때 여전히 부족한 부분이 많습니다. 공무원 임금 현실화와 직무 만족도 향상을 위해 정부와 노동계의 협의가 원활하게 이루어지기를 바랍니다. 공무원의 처우가 개선되어야만 이들이 공직에서 안정적인 생활을 유지하고, 국민에게 더 나은 서비스를 제공할 수 있을 것입니다.
특히 저연차 공무원들의 임금 현실화는 매우 중요한 문제로 남아 있으며, 이를 해결하기 위해 정부와 공무원 노동계 간의 협의가 필수적입니다. 이 글이 공무원 시험을 준비하는 분들이나 공직에 종사하시는 분들께 유익한 정보가 되기를 바라며, 앞으로의 공무원 처우 개선이 더욱 적극적으로 이루어지기를 기대합니다. 공무원의 봉급은 단순한 개인의 임금이 아닌 국가의 공공 서비스를 책임지는 중요한 요소이므로, 이에 대한 충분한 지원과 배려가 필요합니다.